扫码购买正式版题库

  • 海量题库
  • 全真模拟
  • 专项训练
  • 预测试题
  • 押题密卷
  • 错题强化

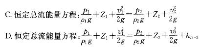
对某一流段,设其上、下游两断面1-1、2-2的断面面积分别为A1、A2,断面流速分别为v1、v2,两断面上任一点相对于选定基准面的高程分别为Z1、Z2,相应断面同一选定点的压强分别为P1、P2,两断面处的流体密度分别为ρ1、ρ2,流体为不可压缩流体,两断面间的水头损失为下列方程表述一定错误的是: A.连续性方程:v1A1= v2A2 B.连续性方程:ρ1v1A1= ρ2v2A2

单选题
对某一流段,设其上、下游两断面1-1、2-2的断面面积分别为A1、A2,断面流速分别为v1、v2,两断面上任一点相对于选定基准面的高程分别为Z1、Z2,相应断面同一选定点的压强分别为P1、P2,两断面处的流体密度分别为ρ1、ρ2,流体为不可压缩流体,两断面间的水头损失为下列方程表述一定错误的是:

A.连续性方程:v1A1= v2A2 
B.连续性方程:ρ1v1A1= ρ2v2A2

AA

BB

CC

DD

最新更新

易过题库在线搜题

热门题库