扫码购买正式版题库

  • 海量题库
  • 全真模拟
  • 专项训练
  • 预测试题
  • 押题密卷
  • 错题强化

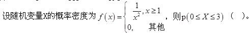
单选题

A1/3

B2/3

C1/2

D1/4

最新更新

易过题库在线搜题

热门题库