B、C、D、" /> B、C、D、" />

扫码购买正式版题库

  • 海量题库
  • 全真模拟
  • 专项训练
  • 预测试题
  • 押题密卷
  • 错题强化

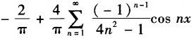
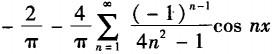
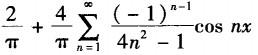
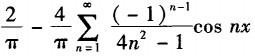
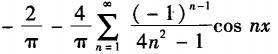
设f(x)是以2π为周期的周期函数,在[-π,π]上的表达式为f(x)=cos(x/2),则f(x)的傅里叶级数为( ).

单选题
设f(x)是以2π为周期的周期函数,在[-π,π]上的表达式为f(x)=cos(x/2),则f(x)的傅里叶级数为(  ).

A

B

C

D

最新更新

易过题库在线搜题

热门题库